收藏本站
首页
公司概况
公司简介
公司规模
公司荣誉
产品中心
新闻动态
企业资讯
行业报道
医药知识
商务招商
联系我们
人才招聘
众博(中国)
新闻动态
企业资讯
行业报道
医药知识
当前位置:
首页
>
企业资讯
>
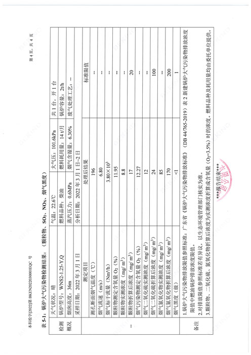
2022年3月废气检测
2022年3月废气检测
发布时间:2022-04-29 10:33:53 点击数:
上一篇:
2022年2月废气检测
下一篇:
2022年3月废水检测
官方微信扫一扫
关注淘宝最新优惠
乐鱼网页版登录界面
|
万搏官方网站
|
乐动中国
|
欧冠平台
|
欧冠联赛买球网
|
拼搏在线首页
|
众博在线
|
FH·体育
|
乐动手机网页版登录入口_乐动(中国)官网
|